Extreme-mass-ratio inspirals (EMRIs for short) are a promising source for the planned space-borne gravitational-wave observatory LISA. To detect and analyse them we need accurate models for the signals, which are exquisitely intricate. In this paper, we investigated a feature, transient resonances, which have not previously included in our models. They are difficult to incorporate, but can have a big impact on the signal. Fortunately, we find that we can still detect the majority of EMRIs, even without including resonances. Phew!
EMRIs and orbits
EMRIs are a beautiful gravitational wave source. They occur when a stellar-mass black hole slowly inspirals into a massive black hole (as found in the centre of galaxies). The massive black hole can be tens of thousands or millions of times more massive than the stellar-mass black hole (hence extreme mass ratio). This means that the inspiral is slow—we can potentially measure tens of thousands of orbits. This is both the blessing and the curse of EMRIs. The huge numbers of cycles means that we can closely follow the inspiral, and build a detailed map of the massive black hole’s spacetime. EMRIs will give us precision measurements of the properties of massive black holes. However, to do this, we need to be able to find the EMRI signals in the data, we need models which can match the signals over all these cycles. Analysing EMRIs is a huge challenge.
EMRI orbits are complicated. At any moment, the orbit can be described by three orbital frequencies: one for radial (in/out) motion , one for polar (north/south if we think of the spin of the massive black hole like the rotation of the Earth) motion
and one for axial (around in the east/west direction) motion. As gravitational waves are emitted, and the orbit shrinks, these frequencies evolve. The animation above, made by Steve Drasco, illustrates the evolution of an EMRI. Every so often, so can see the pattern freeze—the orbits stays in a constant shape (although this still rotates). This is a transient resonance. Two of the orbital frequencies become commensurate (so we might have 3 north/south cycles and 2 in/out cycles over the same period [bonus note])—this is the resonance. However, because the frequencies are still evolving, we don’t stay locked like this is forever—which is why the resonance is transient. To calculate an EMRI, you need to know how the orbital frequencies evolve.
The evolution of an EMRI is slow—the time taken to inspiral is much longer than the time taken to complete one orbit. Therefore, we can usually split the problem of calculating the trajectory of an EMRI into two parts. On short timescales, we can consider orbits as having fixed frequencies. On long timescale, we can calculate the evolution by averaging over many orbits. You might see the problem with this—around resonances, this averaging breaks down. Whereas normally averaging over many orbits means averaging over a complicated trajectory that hits pretty much all possible points in the orbital range, on resonance, you just average over the same bit again and again. On resonance, terms which usually average to zero can become important. Éanna Flanagan and Tanja Hinderer first pointed out that around resonances the usual scheme (referred to as the adiabatic approximation) doesn’t work.

A non-resonant EMRI orbit in three dimensions (left) and two dimensions (right), ignoring the rotation in the axial direction. A non-resonant orbit will eventually fill the –
plane. Credit: Rob Cole

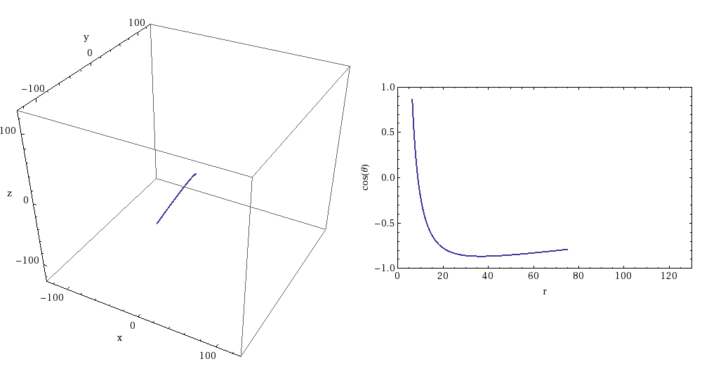
For comparison, a resonant EMRI orbit. A 2:3 resonance traces the same parts of the –
plane over and over. Credit: Rob Cole
Around a resonance, the evolution will be enhanced or decreased a little relative to the standard adiabatic evolution. We get a kick. This is only small, but because we observe EMRIs for so many orbits, a small difference can grow to become a significant difference later on. Does this mean that we won’t be able to detect EMRIs with our standard models? This was a concern, so back at the end of PhD I began to investigate [bonus note]. The first step is to understand the size of the kick.

A jump in the orbital energy across a 2:3 resonance. The plot shows the difference between the approximate adiabatic evolution and the instantaneous evolution including the resonance. The thickness of the blue line is from oscillations on the orbital timescale which is too short to resolve here. The dotted red line shows the fitted size of the jump. Time is measured in terms of the resonance time which is defined below. Figure 4 of Berry et al. (2016).
Resonance kicks
If there were no gravitational waves, the orbit would not evolve, it would be fixed. The orbit could then be described by a set of constants of motion. The most commonly used when describing orbits about black holes are the energy, angular momentum and Carter constant. For the purposes of this blog, we’ll not worry too much about what these constants are, we’ll just consider some constant .
The resonance kick is a change in this constant . What should this depend on? There are three ingredients. First, the rate of change of this constant
on the resonant orbit. Second, the time spent on resonance
. The bigger these are, the bigger the size of the jump. Therefore,
.
However, the jump could be positive or negative. This depends upon the relative phase of the radial and polar motion [bonus note]—for example, do they both reach their maximum point at the same time, or does one lag behind the other? We’ll call this relative phase . By varying
we explore we can get our resonant trajectory to go through any possible point in space. Therefore, averaging over
should get us back to the adiabatic approximation: the average value of
must be zero. To complete our picture for the jump, we need a periodic function of the phase,
,
with . Now, we know the pieces, we can try to figure out what the pieces are.
The rate of change is proportional the mass ratio
: the smaller the stellar-mass black hole is relative to the massive one, the smaller
is. The exact details depend upon gravitational self-force calculations, which we’ll skip over, as they’re pretty hard, but they are the same for all orbits (resonant or not).
We can think of the resonance timescale either as the time for the orbital frequencies to drift apart or the time for the orbit to start filling the space again (so that it’s safe to average). The two pictures yield the same answer—there’s a fuller explanation in Section III A of the paper. To define the resonance timescale, it is useful to define the frequency , which is zero exactly on resonance. If this is evolving at rate
, then the resonance timescale is
.
This bridges the two timescales that usually define EMRIs: the short orbital timescale and the long evolution timescale
:
.
To find the form of for , we need to do some quite involved maths (given in Appendix B of the paper) [bonus note]. This works by treating the evolution far from resonance as depending upon two independent times (effectively defining
and
), and then matching the evolution close to resonance using an expansion in terms of a different time (something like
). The solution shows that the jump depends sensitively upon the phase
at resonance, which makes them extremely difficult to calculate.
We numerically evaluated the size of kicks for different orbits and resonances. We found a number of trends. First, higher-order resonances (those with larger and
) have smaller jumps than lower-order ones. This makes sense, as higher-order resonances come closer to covering all the points in the space, and so are more like averaging over the entire space. Second, jumps are larger for higher eccentricity orbits. This also makes sense, as you can’t have resonances for circular (zero eccentricity orbits) as there’s no radial frequency, so the size of the jumps must tend to zero. We’ll see that these two points are important when it comes to observational consequences of transient resonances.
Astrophysical EMRIs
Now we’ve figured out the impact of passing through a transient resonance, let’s look at what this means for detecting EMRIs. The jump can mean that the evolution post-resonance can soon become out of phase with that pre-resonance. We can’t match both parts with the same adiabatic template. This could significantly hamper our prospects for detection, as we’re limited to the bits of signal we can pick up between resonances.
We created an astrophysical population of simulated EMRIs. We used numerical simulations to estimate a plausible population of massive black holes and distribution of stellar-mass black holes insprialling into them. We then used adiabatic models to see how many LISA (or eLISA as it was called at the time) could potentially detect. We found there were ~510 EMRIs detectable (with a signal-to-noise ratio of 15 or above) for a two-year mission.
We then calculated how much the signal-to-noise ratio would be reduced by passing through transient resonances. The plot below shows the distribution of signal-to-noise ratio for the original population, ignoring resonances, and then after factoring in the reduction. There are now ~490 detectable EMRIs, a loss of 4%. We can still detect the majority of EMRIs!

Distribution of signal-to-noise ratios for EMRIs. In blue (solid outline), we have the results ignoring transient resonances. In orange (dashed outline), we have the distribution including the reduction due to resonance jumps. Events falling below 15 are deemed to be undetectable. Figure 10 of Berry et al. (2016).
We were worried about the impact of transient resonances, we know that jumps can cause them to become undetectable, so why aren’t we seeing a bit effect in our population? The answer lies is in the trends we saw earlier. Jumps are large for low order resonances with high eccentricities. These were the ones first highlighted, as they are obviously the most important. However, low-order resonances are only encountered really close to the massive black hole. This means late in the inspiral, after we have already accumulated lots of signal-to-noise ratio. Losing a little bit of signal right at the end doesn’t hurt detectability too much. On top of this, gravitational wave emission efficiently damps down eccentricity. Orbits typically have low eccentricities by the time they hit low-order resonances, meaning that the jumps are actually quite small. Although small jumps lead to some mismatch, we can still use our signal templates without jumps. Therefore, resonances don’t hamper us (too much) in finding EMRIs!
This may seem like a happy ending, but it is not the end of the story. While we can detect EMRIs, we still need to be able to accurately infer their source properties. Features not included in our signal templates (like jumps), could bias our results. For example, it might be that we can better match a jump by using a template for a different black hole mass or spin. However, if we include jumps, these extra features could give us extra precision in our measurements. The question of what jumps could mean for parameter estimation remains to be answered.
arXiv: 1608.08951 [gr-qc]
Journal: Physical Review D; 94(12):124042(24); 2016
Conference proceedings: 1702.05481 [gr-qc] (only 2 pages—ideal for emergency journal club presentations)
Favourite jumpers: Woolly, Mario, Kangaroos
Bonus notes
Radial and polar only
When discussing resonances, and their impact on orbital evolution, we’ll only care about –
resonances. Resonances with
are not important because the spacetime is axisymmetric. The equations are exactly identical for all values of the the axial angle
, so it doesn’t matter where you are (or if you keep cycling over the same spot) for the evolution of the EMRI.
This, however, doesn’t mean that resonances aren’t interesting. They can lead to small kicks to the binary, because you are preferentially emitting gravitational waves in one direction. For EMRIs this are negligibly small, but for more equal mass systems, they could have some interesting consequences as pointed out by Maarten van de Meent.
Extra time
I’m grateful to the Cambridge Philosophical Society for giving me some extra funding to work on resonances. If you’re a Cambridge PhD student, make sure to become a member so you can take advantage of the opportunities they offer.
Calculating jumps
The theory of how to evolve through a transient resonance was developed by Kevorkian and coauthors. I spent a long time studying these calculations before working up the courage to attempt them myself. There are a few technical details which need to be adapted for the case of EMRIs. I finally figured everything out while in Warsaw Airport, coming back from a conference. It was the most I had ever felt like a real physicist.

Transient resonances remind me of Spirographs. Thanks Frinkiac


